|
Свободный источник указывается для тех материалов, принадлежность которых к определенному изданию установить не удалось. Здесь собраны авторские задачи, задачи из контрольных работ, задачи, присланные в адрес нашего сайта. |
|
Свободный источник указывается для тех материалов, принадлежность которых к определенному изданию установить не удалось. Здесь собраны авторские задачи, задачи из контрольных работ, задачи, присланные в адрес нашего сайта. |
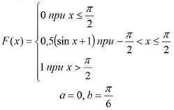
Непрерывная случайная величина задана интервальной функцией F(x):
a=1, b=2 Найти: а) вероятность попадания случайной величины x в интервал (a;b); б) дифференциальную функцию; в) математическое ожидание, дисперсию среднеквадратическое отклонение случайной величины x; г) построить график функции f(x), F(x).
Дана плотность распределения f(x) случайной величины Х. Найти параметр с, математическое ожидание M[X], дисперсию D[X], функцию распределения случайной величины Х, вероятность выполнения неравенства 2<X<2,6, построить графики f(x) и F(X)
Непрерывная случайная величина задана интегральной функцией F(x). Найти: а) вероятность попадания случайной величины X в интервал (а;b); б) дифференциальную функцию; в) математическое ожидание, дисперсию среднеквадратическое отклонение случайной величины X; г) построить графики функций f(x), F(x):
a=2,5; b=3
Дана плотность распределения f(x) случайной величины X. Найти параметр с, математическое ожидание М[X], дисперсию D[X], функцию распределения случайной величины X, вероятность выполнения неравенства 2<X<2,8, построить графики функций f(x) и F(x).
Непрерывная случайная величина задана интегральной функцией (функцией распределения) F(x). Найти а) вероятность попадания случайной величины Х в интервал (a;b); б) дифференциальную функцию (функцию плотности вероятностей) f(x); в) математическое ожидание, дисперсию и среднее квадратическое отклонение случайной величины Х; г) построить графики функций F(x) и f(x).

Дана плотность распределения f(x) случайной величины Х. Найти параметр с, математическое ожидание М(Х), дисперсию D(X), функцию распределения случайной величины Х, вероятность выполнения неравенства -1,5< X< 0,3, построить графики функций F(x) и f(x).
Непрерывная случайная величина задана интегральной функцией (функцией распределения) F(х). Найти: а) вероятность попадания случайной величины X в интервал (a,b); б) дифференциальную функцию (функцию плотности вероятностей) f(x); в) математическое ожидание, дисперсию и среднее квадратическое отклонение случайной величины X; г) построить графики функций F(х) и f(х).
Дана плотность распределения f(х) случайной величины X. Найти параметр с, математическое ожидание М(Х), дисперсию D(Х), функцию распределения случайной величины X, вероятность выполнения неравенства –1<X<0, построить графики функций F(x) и f(x).
Посадочная ступень летательного аппарата совершает автоматическую посадку на площадку, по которой разбросаны камни, образующие равномерное пуассоновское поле со средней плотностью один камень на 30м2. Определить вероятность безаварийной посадки, если она осуществляется при условии, что в зоне опор (равносторонний треугольник со стороной 1м) не окажется камней. (При решении задачи размером камней пренебречь).
Обучающая машина-экзаменатор содержит два набора вопросов: 1 – состоит из 5 трудных и 25 легких вопросов, 2 – 20 трудных и 10 легких. Машина с заданной вероятностью выбирает набор, затем случайно выбирает вопрос и предъявляет его экзаменующемуся. Как нужно задать вероятности выбора 1 и 2 наборов, чтобы использовать в среднем одинаковое число трудных и легких вопросов, т.е. уровнять вероятности предъявления трудных и легких вопросов?
Найти вероятность того, что абонент наберет правильный двузначный номер, если он знает, что данный номер не делится на 5.
Вероятности попадания при каждом выстреле для трех стрелков равны соответственно 0,2, 0,4, 0,6. При одновременном выстреле всех трех стрелков имелось одно попадание. Определить вероятность того, что попал первый стрелок.
В магазин поступили телевизоры от трех фирм. На долю первой фирмы приходится 50% общего числа поставок, на долю второй фирмы – 20%, а на долю третьей фирмы – 30%. Из практики известно, что бракованными оказываются 4% телевизоров, поставляемых первой фирмой, 3% - поставляемых второй фирмой и 5% - поставляемых третьей фирмой.
1) Найти вероятность того, что купленный в данном магазине телевизор окажется бракованным.
2) Найти вероятность того, что купленный в магазине и оказавшийся бракованным телевизор, был произведен первой фирмой.
На склад поступает продукция 3-х фабрик, причем продукция 1-ой фабрики составляет 20%, 2-ой – 46%, 3-ей – 34%. Известно, что средний процент нестандартных изделий для первой фабрики равен 3%, для второй – 2%, для третьей – 1%. Найти вероятность того, что наудачу взятое изделие произведено на первой фабрике, если оно оказалось нестандартным.
В урне находятся 30 шаров, из них 15 белых, 8 черных и 7 красных. Определить вероятность извлечения красного или черного шара.
В цехе шесть моторов. Для каждого мотора вероятность того, что он в данный момент включен, равна 0,8. Найти вероятность того, что в данный момент включено четыре мотора.
Вероятность надежной работы конструкции при приложении нагрузки равна 0,96. Найти вероятность того, что из 10 конструкций, испытанных независимо друг от друга, больше двух выйдут из строя.
В цехе работает 20 станков. Из них 10 марки A, 6 – марки B и 4 – марки С. Вероятность того, что качество детали, изготовленной на этих станках, окажется отличным, равны соответственно 0,9; 0,8; 0,7. Какой процент отличных деталей выпускает цех в целом?
Турист, заблудившись в лесу, вышел на поляну, от которой в разные стороны идут пять дорог. Если турист пойдет по первой дороге, то вероятность выхода туриста из леса в течение часа составляет 0,6; если по второй – 0,3; если по третьей – 0,2; по четвертой – 0,1; по пятой – 0,1. Какова вероятность того, что турист пошел по первой дороге, если он через час вышел из леса?
Пусть в коробке есть три новых и три уже использованных теннисных мяча. Для первой игры наудачу берут из коробки два мяча и затем их возвращают в коробку. Какова вероятность для второй игры из этой коробки наудачу вынуть два новых мяча?
На склад сети открывшихся магазинов поступили изделия однотипной продукции от 4-х производителей и были складированы без различия относительно производителей. Оказалось, что среди так складированной продукции значительная доля брака. Поэтому на фабриках производителей была осуществлена официальная проверка, установившая по каждому из производителей вероятность P брака для производимого им изделия. Кроме того, по документам были установлены доли D объёмов ранее поставленной производителями сети магазинов продукции. Найти все вероятности того, что бракованное изделие на складе сети магазинов принадлежит конкретному производителю (эта информация может служить основанием для предъявления соответствующих официальных штрафных санкций).
p1=0,35; p2=0,15; p3=0,25; p4=0,3; d1=0,3; d2=0,15; d3=0,15; d4=0,4.
Предположим, что 5% всех мужчин и 0,25% всех женщин дальтоники. Наугад выбранное лицо страдает дальтонизмом. Какова вероятность того, что это мужчина? (считать, что мужчин и женщин одинаковое число).
В филиале банка работают 15 сотрудников, трое из которых не имеют нужной квалификации. Сколько можно составить списков по 9 сотрудников, два из которых не имеют нужной квалификации?
Игральная кость подброшена 3 раза. Найдите вероятность того, что четное число очков не выпадет ни разу.
Экзамен принимают два преподавателя. Вероятность того, что студент будет сдавать экзамен одному преподавателю, равна 0,55, второму - 0,45. Вероятность того, что первый преподаватель примет экзамен, равна 0,9, а второй - 0,98. Экзамен был сдан. Найдите вероятность того, что принял экзамен второй преподаватель.
Из 32 вопросов студент знает 16. Найдите вероятность того, что студент ответит хотя бы на один из трех предложенных экзаменатором вопросов?
Среди студентов, принятых в высшее учебное заведение, иногородние в среднем составляют 75%. Чему равна вероятность, что среди десяти студентов группы количество иногородних не менее пяти?
В страховом обществе застрахованы от несчастного случая 15250 человек. Вероятность несчастного случая для каждого 0,006. Найдите вероятность того, что за выплатой страховки обратятся 54 человека.
В цехе работает 20 станков. Из них 10 марки A, 6 – марки B и 4 – марки С. Вероятность того, что качество детали, изготовленной на этих станках, окажется отличным, равны соответственно 0,9; 0,8; 0,7. 1) Какой процент бракованных деталей выпускает цех в целом? 2) Известно, что случайно выбранная деталь оказалась бракованной. На каком автомате вероятнее всего была произведена эта деталь?
Контроль качества изделий показал, что в партии с n (8) деталей является m (6) стандартных. Наугад отобрали k (5) деталей. Составить закон распределения числа стандартных деталей среди отобранных. Найти математическое ожидание, дисперсию и среднее квадратичное отклонение числа стандартных деталей среди отобранных.
В партии из 10 деталей 8 стандартных. Найти вероятность того, что среди наудачу извлеченных 2 деталей есть хотя бы одна стандартная.
Вероятность того, что студент 4-го курса перейдет на 5-ый равна 0,9. Вероятность окончить институт равна 0,7. Какова вероятность того, что студент перейдет на 5-ый курс и окончит институт?
В первом ящике 100 пуговиц – из них: 10 с одной дыркой, а во втором ящике – 200 пуговиц, из них 15 с одной дыркой, в третьем ящике – 300 пуговиц, из них 30 с одной дыркой. Какова вероятность того, что:
а) наудачу взятая пуговица без дефекта;
б) пуговица с дефектом взята из третьего ящика.
70% гарнитуров, поступивших в мебельный магазин из Иркутска, 30% - из Улан-Удэ. 10% иркутской мебели и 5% улан-удэнской мебели нестандартны. Какова вероятность того, что:
а) наудачу выбранный гарнитур стандартен;
б) стандартный гарнитур из Улан-Удэ.
Два автомата производят одинаковые детали, которые поступают на общий конвейер. Производительность первого автомата в 2 раза больше производительности второго. Первый автомат производит в среднем 40% деталей отличного качества, а второй - 50%. Наудачу взятая с конвейера деталь, оказалась отличного качества. Найти вероятность того, что эта деталь произведена вторым автоматом.